產品名稱: 膝溝藻毒素-2和3的認證校準溶液
貨號:CRM-GTX2&3-d
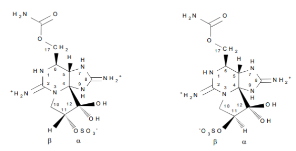
英文名稱:Certified Calibration Solution for Gonyautoxin-2&3
規格:0.5ml
品牌:NRC
說明:CRM?GTX2&3?d是一種經過認證的校準解決方案,專為化學分析方法而設計。每個安瓿含有濃度為146.1μ。
應用領域:環境、食品安全
分析物組:藻類毒素、藍藻毒素
單位:0.5 mL/安瓿
使用說明:CRM-GTX2&3-d是一種用于GTX2和GTX3分析方法的建立和精確測定的校準解決方案,適用于制備液相色譜、柱后氧化熒光(LC-OX-FLD)或液相色譜-質譜(LC-MS)檢測等儀器的稀釋系列。
儲存
為確保CRM-GTX2&3-d的穩定性,安瓿應存放在冰箱(+4°C)中.在開啟前,應允許每個安瓿加熱至室溫,并將其*混合在一起。安瓿應按預定分數打開。一旦安瓿打開,應用校準的容量設備取出準確的假藥,并將其轉移到容量瓶或小瓶中。由于溶劑蒸發而導致的濃度增加,如果溶劑的溶解時間超過幾分鐘就會發生。建議客戶關系管理系統不應由于玻璃表面有損耗的可能性而蒸發為干燥。
注:不證明溶解的體積,只有濃度被證明,因此,不應簡單地將整個分光片的內容轉移到容量瓶中,然后稀釋成體積。
東莞市百順生物科技有限公司是NRC的代理商,負責NRC標準品在國內的產品銷售。
訂購須知: 1. 本公司僅提供NRC標準品代理采購業務。⒉.本公司承諾所采購產品來自NRC。
3.本公司保證全程采用要求的運輸條件進行產品運輸。4.本公司對所委托進口產品品質不做任何擔保,如遇質量問題,本公司可協助客戶與NRC進行協商處理售后問題。
CRM-STX-g 石房蛤毒素二鹽酸鹽校準溶液 0.5 mL/ampoule
CRM-NEO-d 新石斛毒素認證校準溶液 0.5 mL/ampoule
CRM-dcSTX-c 去氨基甲酰蛤蚌毒素校準溶液 0.5 mL/ampoule
CRM-GTX1&4-e 膝溝藻毒素-1和-4(GTX1和4)校準溶液 0.5 mL/ampoule
CRM-GTX2&3-d 膝溝藻毒素-2和3的認證校準溶液 0.5 mL/ampoule
CRM-GTX5-d 膝溝藻毒素-5校準溶液 0.5 mL/ampoule
CRM-OA-d 岡田酸校準溶液 0.5 mL/ampoule
CRM-DTX1-c 鰭藻毒素-1校準溶液 0.5 mL/ampoule
CRM-DTX2-b 鰭藻毒素-2校準溶液 0.5 mL/ampoule
CRM-YTX-c 蝦夷扇貝毒素校準溶液 0.5 mL/ampoule
CRM-hYTX-b 1-同源毒素校準溶液 0.5 mL/ampoule
CRM-AZA1-b 原多甲藻酸-1校準溶液0.5 mL/ampoule
CRM-AZA2-b 原多甲藻酸-2校準溶液0.5 mL/ampoule
CRM-AZA3-b 原多甲藻酸-3校準溶液0.5 mL/ampoule
CRM-PTX2-b 果膠毒素校準溶液 0.5 mL/ampoule



陳經理(銷售)
